Projects: Home 0 1 2 3 4 5 6 7 8 9

Oxford Lecture

!*! Label



ABBA !/(!*!)



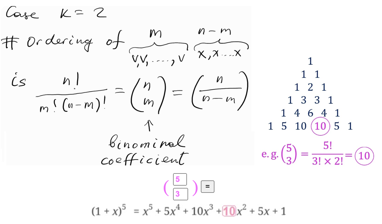
Binominal Coefficients

(
)

+